Администрация Балахнинского муниципального округа Нижегородской области
ПОСТАНОВЛЕНИЕ от 04.03.2022г. № 398
О внесении изменения в муниципальную программу «Переселение граждан из аварийного жилищного фонда на территории Балахнинского муниципального округа Нижегородской области на 2021-2025 годы», утвержденную постановлением администрации Балахнинского муниципального района Нижегородской области от 13.11.2020 N 1610
В целях реализации муниципальной программы, руководствуясь Уставом Балахнинского муниципального округа Нижегородской области, Администрация Балахнинского муниципального округа
п о с т а н о в л я е т:
1. Внести следующие изменения в постановление администрации Балахнинского муниципального района Нижегородской области от 13.11.2020 № 1610 (с изменениями, внесенными постановлениями администрации Балахнинского муниципального округа Нижегородской области от 31.03.2021 № 525, от 24.05.2021 № 852, от 22.06.2021 № 1149, от 25.08.2021 № 1541, от 27.10.2021 № 1959, от 30.12.2021 № 2556) (далее – Постановление):
1.1. В наименовании и по тексту Постановления слова «2021-2025 годы» заменить словами «2021-2023 годы».
1.2. В преамбуле Постановления слова «2019-2025 годы» заменить словами «2019-2023 годы».
2. Внести следующие изменения в муниципальную программу «Переселение граждан из аварийного жилищного фонда на территории Балахнинского муниципального округа Нижегородской области на 2021-2025 годы», утвержденную Постановлением (далее - Муниципальная программа):
2.1. В наименовании и по тексту Муниципальной программы слова «2021-2025 годы» заменить словами «2021-2023 годы».
2.2. Изложить раздел 1 «Паспорт программы» в следующей редакции:
|
«Паспорт программы
|
|
Муниципальный заказчик-координатор программы
|
Заместитель главы администрации по ЖКХ, строительству и экологии
Главный распорядитель бюджетных средств – Администрация БМО
|
|
Соисполнители Программы
|
Управление жилья и инженерной инфраструктуры администрации Балахнинского муниципального округа (далее УЖ и ИИ) - Главный распорядитель бюджетных средств – Администрация БМО, Комитет по управлению муниципальным имуществом и земельными ресурсами администрации Балахнинского муниципального округа (далее КУМИ и ЗР) - Главный распорядитель бюджетных средств – Администрация БМО, Финансовое управление администрации Балахнинского муниципального округа (далее Финуправление)
|
|
Цели муниципальной программы
|
- Создание безопасных и благоприятных условий проживания граждан на территории Балахнинского муниципального округа Нижегородской области (Далее – БМО)
|
|
Задачи муниципальной программы
|
- Переселение граждан из многоквартирных домов, признанных в установленном порядке аварийными и подлежащими сносу или реконструкции в связи с физическим износом в процессе их эксплуатации (далее – аварийные многоквартирные дома) до 01.01.2017 в благоустроенные жилые помещения
|
|
Этапы и сроки реализации муниципальной программы
|
Муниципальная программа реализуется в течение 2021-2023 годов, в 3 этапа:
1 этап 2021-2021 годы;
2 этап 2021-2022 годы;
3 этап 2022-2023 годы.
|
|
Объемы бюджетных ассигнований программы за счет средств бюджета Балахнинского муниципального округа Нижегородской области
|
Предполагаемый общий объем финансовых средств, необходимых для реализации Программы в 2021 – 2023 годах составляет 337 576,3 тыс. руб.
1 этап 2021 годы – 153 398,2 тыс. руб. (2 этап региональной адресной программы «Переселение граждан из аварийного жилищного фонда на территории Нижегородской области на 2019 – 2025 годы, утвержденной постановлением правительства Нижегородской области от 29.03.2019 N 168) (далее-региональная адресная программа)
2 этап 2021-2022 годы – 121953,4 тыс. руб. (3 этап региональной адресной программы)
3 этап 2022-2023 годы – 50550,8 тыс. руб. (4 этап региональной адресной программы)
Расходы на софинанасирование разницы стоимости приобретения (строительства) жилых помещений 2021 год – 11 673,9 тыс. руб.
|
|
Целевые индикаторы муниципальной программы
|
Индикатор 1: Доля площади аварийных многоквартирных домов, жители которых расселены в результате выполнения Программы от площади многоквартирных домов, признанных аварийными в результате физического износа и подлежащих сносу на 01.01.2017;
Индикатор 2: Доля освобожденных жилых помещений от общего количества жилых помещений подлежащих к расселению в результате выполнения Программы;
Индикатор 3: Доля переселенных граждан от общего количества граждан, подлежащих переселению в результате выполнения Программы.
|
»
2.3. Изложить таблицу 1 пункта 2.3. «Сроки и этапы реализации Программы» раздела 2 «Текст программы» в следующей редакции:
«Таблица 1
|
Сроки реализации муниципальной адресной программы
|
Этапы реализации муниципальной адресной программы
|
Сроки реализации муниципальной адресной программы
|
Непосредственные результаты реализации этапа муниципальной адресной программы
|
|
2020-2023
|
1 этап
|
2020-2021
|
8 домов -108 помещений - 202 человека
|
|
2 этап
|
2021-2022
|
1 дом – 8 помещений – 19 человек
|
|
3 этап
|
2022-2023
|
11 домов - 69 помещений – 137 человек
|
»
2.4. Изложить таблицу 2 пункта 2.4. «Перечень основных мероприятий» раздела 2 «Текст программы» в следующей редакции:
«Таблица 2
|
Наименование мероприятия
|
Сроки выполнения
|
Муниципальный заказчик-координатор муниципальной программы (программы), соисполнитель
|
Источники финансирования
|
Объем финансирования (по годам) за счет средств бюджета округа, тыс. руб.
|
|
2021
|
2022
|
2023
|
Всего
|
|
Муниципальная программа Переселение граждан из аварийного жилищного фонда на территории Балахнинского муниципального округа на 2021-2023 годы
|
2021-2023
|
УЖ и ИИ
|
Всего
|
165 072,1
|
121953,4
|
50550,8
|
337 576,3
|
|
Расходы местного бюджета
|
11 413,7
|
9957,1
|
404,4
|
21 775,2
|
|
Расходы областного бюджета
|
15 229,8
|
2628,4
|
1617,6
|
19 475,8
|
|
за счет средств государственной корпорации Фонд содействия реформированию ЖКХ
|
138 428,6
|
109367,9
|
48528,8
|
296 325,3
|
|
1 этап-
Основное мероприятие 1.1
Федеральный проект
"Обеспечение устойчивого сокращения непригодного для проживания жилищного фонда"
|
2021
|
УЖ и ИИ
|
Всего
|
153 398,2
|
0,0
|
0,0
|
153 398,2
|
|
Расходы местного бюджета
|
10 300,0
|
0,0
|
0,0
|
10 300,0
|
|
Расходы областного бюджета
|
4 669,6
|
0,0
|
0,0
|
4 669,6
|
|
за счет средств государственной корпорации Фонд содействия реформированию ЖКХ
|
138 428,6
|
0,0
|
0,0
|
138 428,6
|
|
2 этап –
Основное мероприятие 1.2.
Федеральный проект
"Обеспечение устойчивого сокращения непригодного для проживания жилищного фонда"
|
2022
|
УЖ и ИИ
|
Всего
|
0,0
|
121 953,4
|
0,0
|
121 953,4
|
|
Расходы местного бюджета
|
0,0
|
9 957,1
|
0,0
|
9 957,1
|
|
Расходы областного бюджета
|
0,0
|
2628,4
|
0,00
|
2628,4
|
|
за счет средств государственной корпорации Фонд содействия реформированию ЖКХ
|
0,0
|
109 367,9
|
0,0
|
109 367,9
|
|
3этап - Основное мероприятие 1.3.
Федеральный проект
"Обеспечение устойчивого сокращения непригодного для проживания жилищного фонда"
|
2023
|
УЖ и ИИ
|
Всего
|
0,0
|
0,0
|
50 550,8
|
50 550,8
|
|
Расходы местного бюджета
|
0,0
|
0,0
|
404,4
|
404,4
|
|
Расходы областного бюджета
|
0,0
|
0,0
|
1617,6
|
1617,6
|
|
за счет средств государственной корпорации Фонд содействия реформированию ЖКХ
|
0,0
|
0,0
|
48528,8
|
48528,8
|
|
Основное мероприятие 2
"Расходы на софинансирование разницы стоимости приобретение (строительства) жилых помещений сложившейся между их рыночной стоимостью и использованной при расчетах объемов софинансирования по действующей региональной адресной программы переселения граждан из аварийного жилищного фонда и на софинансирование разницы между фактической выкупной ценой за изымаемое жилое помещение ценой, установленной в рамках такой программы"
|
2021
|
|
Всего
|
11673,9
|
0,0
|
0,0
|
11673,9
|
|
УЖ и ИИ
|
Расходы местного бюджета
|
1113,7
|
0,0
|
0,0
|
1113,7
|
|
|
Расходы областного бюджета
|
10560,2
|
0,0
|
0,0
|
10560,2
|
»
2.5. Изложить таблицу 3 пункта 2.5. «Целевые индикаторы муниципальной Программы» раздела 2 «Текст программы» в следующей редакции:
«Таблица 3
|
N п/п
|
Наименование цели муниципальной программы (программы), подпрограммы, задачи, целевого индикатора
|
Единица измерения
|
Значение показателя целевого индикатора
|
|
2021
|
2021-2022
|
2022-2023
|
|
1
|
2
|
3
|
4
|
5
|
6
|
|
1.
|
Мунициальная программа: Переселение граждан из аварийного жилищного фонда на территории Балахнинского муниципального округа на 2020-2025 годы Цель: Создание безопасных и благоприятных условий проживания граждан на территории Балахнинского муниципального округа Нижегородской области Задача: Переселение граждан из многоквартирных домов, признанных в установленном порядке аварийными и подлежащими сносу или реконструкции в связи с физическим износом в процессе из эксплуатации (далее -аварийные многоквартирные дома) до 01.01.2017 в благоустроенные жилые помещения.
|
|
|
Задача: Переселение граждан из многоквартирных домов, признанных в установленном порядке аварийными и подлежащими сносу или реконструкции в связи с физическим износом в процессе их эксплуатации (далее - аварийные многоквартирные дома) до 01.01.2017 в благоустроенные жилые помещения.
|
|
|
Целевой индикатор 1: Доля площади аварийных многоквартирных домов, жители которых расселены в результате выполнения Программы от площади многоквартирных домов, признанных аварийными в результате физического износа и подлежащих сносу на 01.01.2017
|
%
|
100,00
|
100,00
|
100,00
|
|
|
Непосредственный результат: Площадь многоквартирных домов, признанных аварийными в результате физического износа и подлежащих сносу на 01.01.2017, жители которых расселены в результате выполнения Программы
|
кв.м.
|
3612,85
|
237,4
|
2489,79
|
|
|
Целевой индикатор 2: Доля освобожденных жилых помещений от общего количества жилых помещений подлежащих к расселению в результате выполнения Программы
|
%
|
100,00
|
100,00
|
100,00
|
|
|
Непосредственный результат: Количество освобожденных жилых помещений в результате выполнения Программы
|
ед.
|
108,00
|
8
|
69
|
|
|
Целевой индикатор 3: Доля переселенных граждан от общего количества граждан, подлежащих переселению в результате выполнения Программы
|
%
|
100,00
|
100,00
|
100,00
|
|
|
Непосредственный результат: Количество переселенных граждан в результате выполнения программы
|
чел
|
202
|
19
|
137
|
»
2.6. Изложить таблицу 6 «Ресурсное обеспечение реализации Программы за счет средств бюджета Балахнинского муниципального округа Нижегородской области» пункта 2.8. «Обоснование объема финансовых ресурсов» раздела 2 «Текст программы» в следующей редакции:
«Таблица 6
Ресурсное обеспечение реализации Программы за счет средств бюджета Балахнинского муниципального округа Нижегородской области
|
N п/п
|
Наименование муниципальной программы, подпрограммы, основного мероприятия
|
Муниципальный заказчик-координатор муниципальной программы (программы), соисполнитель
|
Расходы, тыс.руб.
|
|
2021
|
2022
|
2023
|
|
1
|
2
|
3
|
4
|
5
|
6
|
|
Муниципальная программа Переселение граждан из аварийного жилищного фонда на территории Балахнинского муниципального округа на 2021-2025 годы
|
Всего, в том числе:
|
165 072,1
|
121 953,4
|
50 550,8
|
|
Заместитель главы администрации по ЖКХ, строительству и экологии (Администрация БМО)
|
0,0
|
0,0
|
0,0
|
|
УЖ и ИИ(Администрация БМО)
|
165 072,1
|
121 953,4
|
50 550,8
|
|
финуправление,
КУМИ(Администрация БМО)
|
0,0
|
0,0
|
0,0
|
|
1.1.
|
1 этап- Основное мероприятие 1.1.Федеральный проект "Обеспечение устойчивого сокращения непригодного для проживания жилищного фонда"
|
Всего, в том числе:
|
153 398,2
|
0,0
|
0,0
|
|
Заместитель главы администрации по ЖКХ, строительству и экологии (Администрация БМО)
|
0,0
|
0,0
|
0,0
|
|
УЖ и ИИ(Администрация БМО)
|
153 398,2
|
0,0
|
0,0
|
|
финуправление,
КУМИ(Администрация БМО)
|
0,0
|
0,0
|
0,0
|
|
1.2.
|
2 этап - Основное мероприятие 1.2. Федеральный проект "Обеспечение устойчивого сокращения непригодного для проживания жилищного фонда" я
|
Всего, в том числе:
|
0,0
|
121 953,4
|
0,0
|
|
Заместитель главы администрации по ЖКХ, строительству и экологии (Администрация БМО)
|
0,0
|
0,0
|
0,0
|
|
УЖ и ИИ(Администрация БМО)
|
0,0
|
121 953,4
|
0,0
|
|
финуправление,
КУМИ(Администрация БМО)
|
0,0
|
0,0
|
0,0
|
|
1.3.
|
3 этап - Основное мероприятие 1.3. Федеральный проект "Обеспечение устойчивого сокращения непригодного для проживания жилищного фонда"
|
Всего, в том числе:
|
0,0
|
0,00
|
50 550,8
|
|
Заместитель главы администрации по ЖКХ, строительству и экологии (Администрация БМО)
|
0,0
|
0,0
|
0,0
|
|
УЖ и ИИ (Администрация БМО)
|
0,0
|
0,00
|
50 550,8
|
|
финуправление, КУМИ(Администрация БМО)
|
0,0
|
0,0
|
0,0
|
|
2
|
Основное мероприятие 2 "Расходы на софинансирование разницы стоимости приобретение (строительства) жилых помещений сложившейся между их рыночной стоимостью и использованной при расчетах объемов софинансирования по действующей региональной адресной программы переселения граждан из аварийного жилищного фонда и на софинансирование разницы между фактической выкупной ценой за изымаемое жилое помещение ценой, установленной в рамках такой программы"
|
Всего, в том числе:
|
11 673,9
|
0,0
|
0,0
|
|
Заместитель главы администрации по ЖКХ, строительству и экологии (Администрация БМО)
|
0,0
|
0,0
|
0,0
|
|
УЖ и ИИ (Администрация БМО)
|
11 673,9
|
0,0
|
0,0
|
|
финуправление, КУМИ(Администрация БМО)
|
0,0
|
0,0
|
0,0
|
»
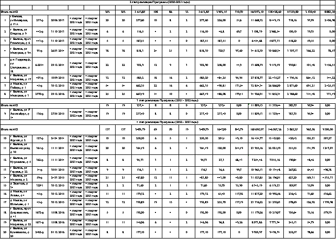
2.7. Изложить приложение 1 к Муниципальной программе в следующей редакции:
«Приложение № 1
к муниципальной программе «Переселение граждан
из аварийного жилищного фонда на территории
Балахнинского муниципального округа
Нижегородской области 2021-2023 год»
Перечень многоквартирных домов признанных аварийными до 1 января 2017 года с указанием планируемых дат окончания переселения
|
N п/п
|
Адрес многоквартирного дома
|
Год ввода дома в эксплуатацию
|
Дата признания многоквартирного дома аварийным
|
Сведения об аварийном жилищном фонде, подлежащем расселению до 1 сентября 2025 г.
|
Планируемая дата окончания переселения
|
|
год
|
дата
|
площадь, кв. м
|
количество человек
|
дата
|
|
1
|
3
|
4
|
5
|
6
|
7
|
8
|
|
Итого по Балахнинскому муниципальному округу Нижегородской области
|
6340,04
|
358
|
|
|
1
|
г. Балахна, ул. Елизарова, д. 13А
|
1980
|
31.05.2013
|
277,60
|
20
|
31.12.2021
|
|
2
|
г. Балахна, ул. Огарева, д. 9
|
1968
|
05.09.2013
|
116,5
|
6
|
31.12.2021
|
|
3
|
г. Балахна, пр-кт Революции, д. 6
|
1889
|
19.09.2013
|
187,51
|
5
|
31.12.2021
|
|
4
|
г. Балахна, ул. Мазурова, д. 9А
|
1936
|
26.02.2014
|
818,30
|
38
|
31.12.2021
|
|
5
|
Р .п. Гидроторф, ул. Центральная, д.18
|
1989
|
18.04.2014
|
302,90
|
22
|
31.12.2021
|
|
6
|
г. Балахна, ул. Некрасова, д. 17
|
1935
|
17.10.2014
|
580,20
|
32
|
31.12.2021
|
|
7
|
Д. Конево, ул. Победы, д.1
|
1977
|
17.10.2014
|
662,35
|
54
|
31.12.2021
|
|
8
|
г. Балахна, ул. Мазурова, д. 3
|
1940
|
08.12.2014
|
667,49
|
25
|
31.12.2021
|
|
9
|
г. Балахна, ул. Р. Люксембург, д. 14
|
1936
|
30.12.2015
|
237,40
|
19
|
31.12.2022
|
|
10
|
г. Балахна, ул. Фрунзе, д. 2
|
1928
|
29.12.2014
|
250,50
|
10
|
31.12.2023
|
|
11
|
г. Балахна, ул. Волжский рейд, д. 30
|
1938
|
06.02.2015
|
364,49
|
20
|
31.12.2023
|
|
12
|
г. Балахна, ул. Курзинская, д. 5
|
1954
|
27.05.2015
|
95,73
|
8
|
31.12.2023
|
|
13
|
г. Балахна, ул. Герцена, д. 22
|
1917
|
10.09.2015
|
136,30
|
9
|
31.12.2023
|
|
14
|
г. Балахна, ул. Медиков, д. 2
|
1935
|
30.12.2015
|
483,80
|
21
|
31.12.2023
|
|
15
|
Д. Замятино, д.34
|
1973
|
30.12.2015
|
71,60
|
2
|
31.12.2023
|
|
16
|
Д. Конево, ул. Лесная, д.4
|
1966
|
30.12.2015
|
179,32
|
11
|
31.12.2023
|
|
17
|
Д. Конево, ул. Школьная, д.1
|
1936
|
15.08.2016
|
392,89
|
32
|
31.12.2023
|
|
18
|
г. Балахна, пр-т Дзержинского, д. 41
|
1927
|
15.08.2016
|
192,00
|
5
|
31.12.2023
|
|
19
|
г. Балахна, ул. Некрасова, д. 22
|
1958
|
01.12.2016
|
146,06
|
11
|
31.12.2023
|
|
20
|
г. Балахна, ул. Бумажников, д. 20
|
1959
|
29.12.2016
|
177,10
|
8
|
31.12.2023
|
| |
|
|
|
|
|
|
|
2.8. Изложить приложение 2 к Муниципальной программе в следующей редакции:
«Приложение № 2
к муниципальной программе «Переселение граждан
из аварийного жилищного фонда на территории
Балахнинского муниципального округа
Нижегородской области 2021-2023 год»
Объем субсидий, в том числе полученных за счет средств Фонда, совместно с процентами долевого финансирования расходования субсидий
|
ед. измерения
|
Субсидии в 2021 году
|
Субсидии в 2022 году
|
Субсидии в 2023 году
|
|
В рамках реализации 2 этапа Региональной программы
|
В рамках реализации 3 этапа Региональной программы
|
В рамках реализации 4 этапа Региональной программы
|
|
Субсидии за счет средств Фонда в 2021 году
|
Субсидии областного бюджета в 2021 году
|
Объем долевого финансирования за счет средств местного бюджета в 2021 году
|
Объем долевого финансирования за счет средств местного бюджета в 2021 году на УЖУ
|
Субсидии за счет средств Фонда в 2022 году
|
Субсидии областного бюджета в 2022 году
|
Объем долевого финансирования за счет средств местного бюджета в 2022 году
|
Объем долевого финансирования за счет средств местного бюджета в 2022 году на УЖУ
|
Субсидии за счет средств Фонда в 2023 году
|
Субсидии областного бюджета в 2023 году
|
Объем долевого финансирования за счет средств местного бюджета в 2023 году
|
Объем долевого финансирования за счет средств местного бюджета в 2023 году на УЖУ
|
|
Тыс .руб
|
138428,6
|
4669,6
|
1416,7
|
8883,3
|
109367,9
|
2628,4
|
657,1
|
9300,0
|
48528,8
|
1617,6
|
404,4
|
0,0
|
|
%
|
0,96
|
0,03
|
0,01
|
0,00
|
0,95
|
0,04
|
0,01
|
0,00
|
0,96
|
0,03
|
0,01
|
0,00
|
| |
|
|
|
|
|
|
|
|
|
|
|
|
|
»
2.9. Изложить приложение 3 к Муниципальной программе в следующей редакции:
«Приложение № 3
к муниципальной программе «Переселение граждан
из аварийного жилищного фонда на территории
Балахнинского муниципального округа
Нижегородской области 2021-2023 год»
Адресный перечень аварийного жилищного фонда Балахнинского муниципального округа, предусмотренный к расселению в рамках муниципальной программы с указанием источников финансирования
 
»
3. Отделу организационно-протокольной работы администрации обеспечить официальное опубликование настоящего постановления в газете "Рабочая Балахна" и размещение на официальном интернет-сайте Балахнинского муниципального округа Нижегородской области.
4. Контроль за исполнением настоящего постановления возложить на заместителя главы администрации по ЖКХ, строительству и экологии (М.Н. Рысин).
Глава местного самоуправления А.Н. Галкин
|