ГлавнаяПочтаКарта сайтаПечатьОфициальный сайтВЕРСИЯ ДЛЯ СЛАБОВИДЯЩИХ
Балахнинский округ Нижегородской области
поиск

Балахнинский муниципальный округ Нижегородской области
Заглушка
Яндекс.Метрика
Переход на новый сайт


Постановления

№ 1917 от 23.09.2022

Администрация Балахнинского муниципального округа Нижегородской области

ПОСТАНОВЛЕНИЕ от 23.09.2022г. № 1917

О внесении изменения в муниципальную программу «Переселение граждан из аварийного жилищного фонда на территории Балахнинского муниципального округа Нижегородской области на 2021-2023 годы», утвержденную постановлением администрации Балахнинского муниципального района Нижегородской области от 13.11.2020 N 1610

В целях реализации муниципальной программы, руководствуясь Уставом Балахнинского муниципального округа Нижегородской области, Администрация Балахнинского муниципального округа п о с т а н о в л я е т:

1. Внести следующие изменения в постановление администрации Балахнинского муниципального района Нижегородской области от 13.11.2020 № 1610 (с изменениями, внесенными постановлениями администрации Балахнинского муниципального округа Нижегородской области от 31.03.2021 № 525, от 24.05.2021 № 852, от 22.06.2021 № 1149, от 25.08.2021 № 1541, от 27.10.2021 № 1959, от 30.12.2021 № 2556, от 04.03.2022 № 398, от 29.06.2022 № 1226) (далее – Постановление):

1.1. Изложить раздел 1 «Паспорт программы» в следующей редакции:

«Паспорт  программы

Муниципальный заказчик-координатор программы 

Заместитель главы администрации по ЖКХ, строительству и экологии

Главный распорядитель бюджетных средств – Администрация БМО

 

Соисполнители Программы

Управление жилья и инженерной инфраструктуры администрации Балахнинского муниципального округа (далее УЖ и ИИ) - Главный распорядитель бюджетных средств – Администрация БМО, Комитет по управлению муниципальным имуществом и земельными ресурсами администрации Балахнинского муниципального округа  (далее КУМИ и ЗР) - Главный распорядитель бюджетных средств – Администрация БМО, Финансовое управление администрации Балахнинского муниципального округа (далее Финуправление)

 

Цели муниципальной программы

- Создание безопасных и благоприятных условий проживания граждан на территории Балахнинского муниципального округа Нижегородской области (Далее – БМО)

 

Задачи муниципальной программы

- Переселение граждан из многоквартирных домов, признанных в установленном порядке аварийными и подлежащими сносу или реконструкции в связи с физическим износом в процессе их эксплуатации (далее – аварийные многоквартирные дома) до 01.01.2017 в благоустроенные жилые помещения

 

Этапы и сроки реализации муниципальной программы

Муниципальная программа реализуется в течение 2021-2023 годов, в 3 этапа:

1 этап     2021-2021 годы;

2 этап     2021-2022 годы;

3 этап     2022-2023 годы.

 

 

Объемы бюджетных ассигнований программы за счет средств бюджета Балахнинского муниципального округа Нижегородской области

Предполагаемый общий объем финансовых средств, необходимых для реализации Программы в 2021 – 2023 годах  составляет  346 639,7  тыс. руб.

 

1 этап     2021 годы – 153 398,2 тыс. руб. (2 этап региональной адресной программы «Переселение граждан из аварийного жилищного фонда на территории Нижегородской области на 2019 – 2023 годы, утвержденной постановлением правительства Нижегородской области от 29.03.2019 N 168) (далее-региональная адресная программа)

2 этап     2021-2022 годы – 119 852,3 тыс. руб. (3 этап региональной адресной программы)

3 этап     2022-2023 годы – 50 955,2 тыс. руб. (4 этап региональной адресной программы)

Расходы на софинанасирование разницы стоимости приобретения (строительства) жилых помещений 2021 год – 11 673,9 тыс. руб., 2022 год – 2 789,0 тыс. руб., 2023 год – 7 971,1 тыс. руб. 

 

 

Целевые индикаторы  муниципальной программы

 

Индикатор 1: Доля площади аварийных многоквартирных домов, жители которых расселены в результате выполнения Программы от площади многоквартирных домов, признанных аварийными в результате физического износа и подлежащих сносу на 01.01.2017;  

 Индикатор 2: Доля  освобожденных жилых помещений от общего количества жилых помещений подлежащих  к расселению  в результате выполнения Программы;

Индикатор 3: Доля переселенных граждан от общего количества граждан, подлежащих переселению  в результате выполнения Программы.

 

»

1.2. Изложить таблицу 1 пункта 2.3. «Сроки и этапы реализации Программы» раздела 2 «Текст программы» в следующей редакции:

«Таблица 1

Сроки реализации муниципальной программы

Этапы реализации муниципальной программы

Сроки реализации муниципальной программы

Непосредственные результаты реализации этапа муниципальной программы

2021-2023

1 этап

2021

8 домов -108 помещений - 202 человека

2 этап

2021-2022

1 дом – 8 помещений – 19 человек

3 этап

2022-2023

11 домов - 69 помещений – 137 человек

»

1.3. Изложить таблицу 2 пункта 2.4. «Перечень основных мероприятий» раздела 2 «Текст программы» в следующей редакции:

«Таблица 2

Наименование мероприятия

Сроки выполнения

Муниципальный заказчик-координатор  муниципальной программы (программы), соисполнитель

Источники финансирования

Объем финансирования (по годам) за счет средств бюджета округа, тыс. руб.

 

2021

 

2022

2023

Всего

Муниципальная программа Переселение граждан из аварийного жилищного фонда на территории Балахнинского муниципального округа на 2021-2023 годы

2021-2023

УЖ и ИИ

Всего

165 072,1

173 192,1

8 375,5

346 639,7

Расходы местного бюджета

11 413,7

4 982,9

404,4

16 801,0

Расходы областного бюджета

15 229,8

8 086,5

 

7 971,1

 

31 287,4

за счет средств государственной корпорации Фонд содействия реформированию ЖКХ

138 428,6

160 122,7

0,0

298 551,3

1 этап-

Основное мероприятие 1.1   

Федеральный проект

"Обеспечение устойчивого сокращения непригодного для проживания жилищного фонда"

2021

УЖ и ИИ

Всего

153 398,2

0,0

0,0

153 398,2

Расходы местного бюджета

10 300,0

0,0

0,0

10 300,0

Расходы областного бюджета

4 669,6

0,0

0,0

4 669,6

за счет средств государственной корпорации Фонд содействия реформированию ЖКХ

138 428,6

0,0

0,0

138 428,6

2 этап –

Основное мероприятие 1.2.

Федеральный проект

"Обеспечение устойчивого сокращения непригодного для проживания жилищного фонда"

2022

УЖ и ИИ

Всего

0,0

119 852,3

0,0

119 852,3

Расходы местного бюджета

0,0

4 525,0

0,0

4 525,0

Расходы областного бюджета

0,0

3 733,4

0,00

3 733,4

за счет средств государственной корпорации Фонд содействия реформированию ЖКХ

0,0

111 593,9

0,0

111 593,9

3этап - Основное мероприятие 1.3.

Федеральный проект

"Обеспечение устойчивого сокращения непригодного для проживания жилищного фонда"

2022-2023

УЖ и ИИ

Всего

0,0

50 550,8

404,4

50 955,2

Расходы местного бюджета

0,0

404,4

404,4

808,8

Расходы областного бюджета

0,0

 

1 617,6

 

0,0

 

1 617,6

 

за счет средств государственной корпорации Фонд содействия реформированию ЖКХ

0,0

48 528,8

0,0

48 528,8

Основное мероприятие 2

 "Расходы на софинансирование разницы стоимости приобретение (строительства) жилых помещений сложившейся между их рыночной стоимостью и использованной при расчетах объемов софинансирования по действующей региональной адресной программы переселения граждан из аварийного жилищного фонда и на софинансирование разницы между фактической выкупной ценой за изымаемое жилое помещение ценой, установленной в рамках такой программы"

2021-2023

 

Всего

11 673,9

2 789,0

7 971,1

22 434,0

УЖ и ИИ

Расходы местного бюджета

1 113,7

53,5

0,0

1 167,2

 

Расходы областного бюджета

10 560,2

2 735,5

7 971,1

21 266,8

»

1.4. Изложить таблицу 3 пункта 2.5. «Целевые индикаторы муниципальной Программы» раздела 2 «Текст программы» в следующей редакции:

«Таблица 3

N п/п

Наименование цели муниципальной программы (программы), подпрограммы, задачи, целевого индикатора

Единица измерения

Значение показателя целевого индикатора

2021

2021-2022

2022-2023

1

2

3

4

5

6

1.

Мунициальная программа: Переселение граждан из аварийного жилищного фонда на территории Балахнинского муниципального округа на 2021-2023 годы.                                                                                                                                                                                                         Цель: Создание безопасных и благоприятных условий проживания граждан на территории Балахнинского муниципального округа Нижегородской области.                                                                                                                                                                                                                Задача: Переселение граждан из многоквартирных домов, признанных в установленном порядке аварийными и подлежащими сносу или реконструкции в связи с физическим износом в процессе из эксплуатации (далее - аварийные многоквартирные дома) до 01.01.2017  в благоустроенные жилые помещения.

 

Задача: Переселение граждан из многоквартирных домов, признанных в установленном порядке аварийными и подлежащими сносу или реконструкции в связи с физическим износом в процессе их эксплуатации (далее - аварийные многоквартирные дома) до 01.01.2017  в благоустроенные жилые помещения.

 

Целевой индикатор 1: Доля площади  аварийных многоквартирных домов, жители которых расселены в результате выполнения Программы от площади  многоквартирных домов, признанных аварийными в результате физического износа и подлежащих сносу на 01.01.2017  

%

100,00

100,00

100,00

 

Непосредственный результат: Площадь  многоквартирных домов, признанных аварийными в результате физического износа и подлежащих сносу на 01.01.2017, жители которых расселены в результате выполнения Программы

кв.м.

3612,85

237,4

2489,79

 

Целевой индикатор 2: Доля  освобожденных жилых помещений от общего количества жилых помещений подлежащих  к расселению  в результате выполнения Программы

%

100,00

100,00

100,00

 

Непосредственный результат:  Количество освобожденных жилых помещений  в результате выполнения Программы

ед.

108,00

8

69

 

Целевой индикатор 3:  Доля переселенных граждан от общего количества граждан, подлежащих переселению  в результате выполнения Программы

%

100,00

100,00

100,00

 

Непосредственный результат:  Количество переселенных граждан  в результате выполнения Программы

чел

202

19

137

»

1.5. Изложить таблицу 6 пункта 2.8. «Обоснование объема финансовых ресурсов» раздела 2 «Текст программы» в следующей редакции:

Ресурсное обеспечение реализации Программы за счет средств бюджета Балахнинского муниципального округа Нижегородской области

«Таблица 6

N п/п

Наименование муниципальной программы, подпрограммы, основного мероприятия

Муниципальный заказчик-координатор  муниципальной программы (программы), соисполнитель

Расходы, тыс.руб.

 

2021

2022

2023

1

2

3

4

5

6

Муниципальная программа Переселение граждан из аварийного жилищного фонда на территории Балахнинского муниципального округа на 2021-2023 годы

Всего, в том числе:

165 072,1

173 192,1

8 375,5

Заместитель главы администрации по ЖКХ, строительству и экологии (Администрация БМО)

0,0

0,0

0,0

УЖ и ИИ(Администрация БМО)

165 072,1

173 192,1

8 375,5

финуправление,

КУМИ(Администрация БМО)

0,0

0,0

0,0

1.1.

1 этап-  Основное мероприятие 1.1.Федеральный проект "Обеспечение устойчивого сокращения непригодного для проживания жилищного фонда"

Всего, в том числе:

153 398,2

0,0

0,0

Заместитель главы администрации по ЖКХ, строительству и экологии (Администрация БМО)

0,0

0,0

0,0

УЖ и ИИ(Администрация БМО)

153 398,2

0,0

0,0

финуправление,

КУМИ(Администрация БМО)

0,0

0,0

0,0

1.2.

2 этап - Основное мероприятие 1.2. Федеральный проект "Обеспечение устойчивого сокращения непригодного для проживания жилищного фонда" я

Всего, в том числе:

0,0

119 852,3

0,0

Заместитель главы администрации по ЖКХ, строительству и экологии (Администрация БМО)

0,0

0,0

0,0

УЖ и ИИ(Администрация БМО)

0,0

119 852,3

0,0

финуправление,

КУМИ(Администрация БМО)

0,0

0,0

0,0

1.3.

3 этап - Основное мероприятие 1.3. Федеральный проект "Обеспечение устойчивого сокращения непригодного для проживания жилищного фонда"

 

Всего, в том числе:

0,0

50 550,8

404,4

Заместитель главы администрации по ЖКХ, строительству и экологии (Администрация БМО)

0,0

0,0

0,0

УЖ и ИИ (Администрация БМО)

0,0

50 550,8

404,4

финуправление, КУМИ(Администрация БМО)

0,0

0,0

0,0

2

Основное мероприятие 2 "Расходы на софинансирование разницы стоимости приобретение (строительства) жилых помещений сложившейся между их рыночной стоимостью и использованной при расчетах объемов софинансирования по действующей региональной адресной программы переселения граждан из аварийного жилищного фонда и на софинансирование разницы между фактической выкупной ценой за изымаемое жилое помещение ценой, установленной в рамках такой программы"

Всего, в том числе:

11 673,9

2 789,0

7 971,1

Заместитель главы администрации по ЖКХ, строительству и экологии (Администрация БМО)

0,0

0,0

0,0

УЖ и ИИ (Администрация БМО)

11 673,9

2 789,0

7 971,1

финуправление, КУМИ(Администрация БМО)

0,0

0,0

0,0

»

 

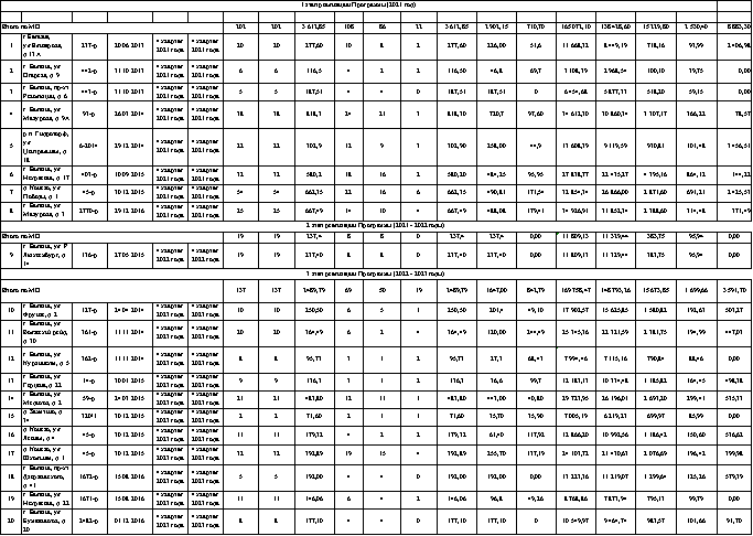
1.6. Изложить приложение 1 к Муниципальной программе в следующей редакции:

 

«Приложение № 1

к муниципальной программе «Переселение граждан

 из аварийного жилищного фонда на территории

Балахнинского муниципального округа

Нижегородской области на 2021-2023 годы»

 

Перечень многоквартирных домов признанных аварийными до 1 января 2017 года с указанием планируемых  дат окончания переселения

N п/п

Адрес многоквартирного дома

Год ввода дома в эксплуатацию

Дата признания многоквартирного дома аварийным

Сведения об аварийном жилищном фонде, подлежащем расселению до 1 сентября 2023 г.

Планируемая дата окончания переселения

год

дата

площадь, кв. м

количество человек

дата

1

3

4

5

6

7

8

Итого по  Балахнинскому муниципальному округу Нижегородской области

6340,04

358

 

1

г. Балахна, ул. Елизарова, д. 13А

1980

31.05.2013

277,60

20

31.12.2021

2

г. Балахна, ул. Огарева, д. 9

1968

05.09.2013

116,5

6

31.12.2021

3

г. Балахна, пр-кт Революции, д. 6

1889

19.09.2013

187,51

5

31.12.2021

4

г. Балахна, ул. Мазурова, д. 9А

1936

26.02.2014

818,30

38

31.12.2021

5

Р .п. Гидроторф, ул. Центральная, д.18

1989

18.04.2014

302,90

22

31.12.2021

6

г. Балахна, ул. Некрасова, д. 17

1935

17.10.2014

580,20

32

31.12.2021

7

Д. Конево, ул. Победы, д.1

1977

17.10.2014

662,35

54

31.12.2021

8

г. Балахна, ул. Мазурова, д. 3

1940

08.12.2014

667,49

25

31.12.2021

9

г. Балахна, ул. Р. Люксембург, д. 14

1936

30.12.2015

237,40

19

31.12.2022

10

г. Балахна, ул. Фрунзе, д. 2

1928

29.12.2014

250,50

10

31.12.2023

11

г. Балахна, ул. Волжский рейд, д. 30

1938

06.02.2015

364,49

20

31.12.2023

12

г. Балахна, ул. Курзинская, д. 5

1954

27.05.2015

95,73

8

31.12.2023

13

г. Балахна, ул. Герцена, д. 22

1917

10.09.2015

136,30

9

31.12.2023

14

г. Балахна, ул. Медиков, д. 2

1935

30.12.2015

483,80

21

31.12.2023

15

Д. Замятино, д.34

1973

30.12.2015

71,60

2

31.12.2023

16

Д. Конево, ул. Лесная, д.4

1966

30.12.2015

179,32

11

31.12.2023

17

Д. Конево, ул. Школьная, д.1

1936

15.08.2016

392,89

32

31.12.2023

18

г. Балахна, пр-т Дзержинского, д. 41

1927

15.08.2016

192,00

5

31.12.2023

19

г. Балахна, ул. Некрасова, д. 22

1958

01.12.2016

146,06

11

31.12.2023

20

г. Балахна, ул. Бумажников, д. 20

1959

29.12.2016

177,10

8

31.12.2023

                 

 

 

1.7. Изложить приложение 2 к Муниципальной программе в следующей редакции:

 

«Приложение № 2

к муниципальной программе «Переселение граждан

 из аварийного жилищного фонда на территории

Балахнинского муниципального округа

Нижегородской области на 2021-2023 годы»

 

Объем субсидий, в том числе полученных за счет средств Фонда, совместно с  процентами долевого финансирования расходования субсидий

ед. измерения

 

Субсидии в 2021 году

Субсидии в 2022 году

Субсидии в 2022- 2023 годах

В рамках реализации 2 этапа Региональной программы

В рамках реализации 3 этапа Региональной программы

В рамках реализации 4 этапа Региональной программы

Субсидии за счет средств Фонда в 2021 году

Субсидии областного бюджета в 2021 году

Объем долевого финансирования за счет средств местного бюджета в 2021 году

Объем долевого финансирования за счет средств местного бюджета в 2021 году на УЖУ

Субсидии за счет средств Фонда в 2022 году

Субсидии областного бюджета в 2022 году

Объем долевого финансирования за счет средств местного бюджета в 2022 году

Объем долевого финансирования за счет средств местного бюджета в 2022 году на УЖУ

Субсидии за счет средств Фонда в 2022- 2023 годах

Субсидии областного бюджета в 2022- 2023 годах

Объем долевого финансирования за счет средств местного бюджета в 2022- 2023 годах

Объем долевого финансирования за счет средств местного бюджета в 2022- 2023 годах на УЖУ

Тыс. руб.

138428,6

4669,6

1416,7

8883,3

111593,9

3733,4

933,3

3591,7

48528,8

1617,6

808,8

0,0

%

0,96

0,03

0,01

0,00

0,95

0,04

0,01

0,00

0,96

0,03

0,01

0,00

»

1.8. Изложить приложение 3  к Муниципальной программе в следующей  редакции:

 

«Приложение № 3

к муниципальной программе «Переселение граждан

 из аварийного жилищного фонда на территории

Балахнинского муниципального округа

Нижегородской области на 2021-2023 годы»

 

Адресный перечень аварийного жилищного фонда Балахнинского муниципального округа, предусмотренный к расселению в рамках муниципальной программы с указанием источников финансирования

»

3. Отделу организационно-протокольной работы администрации обеспечить официальное опубликование настоящего постановления в газете "Рабочая Балахна" и размещение на официальном интернет-сайте Балахнинского муниципального округа Нижегородской области.

4. Контроль за исполнением настоящего постановления возложить на заместителя главы администрации по ЖКХ, строительству и экологии (И.И. Фирер).

 

 

Глава местного самоуправления                                                               А.В. Дранишников


Решаем вместе
Не убран мусор, яма на дороге, не горит фонарь? Столкнулись с проблемой — сообщите о ней!
Created by GraphitPowered by TreeGraph
Copyright © 2005 Администрация
Балахнинского муниципального округа
Нижегородской области
ГлавнаяКарта сайтаПочтаКонтакты